3 年
手机商铺
公司新闻/正文
1106 人阅读发布时间:2024-05-21 10:45
近年来随着mRNA修饰技术与递送技术的不断成熟,其稳定性和翻译效率大幅提高,mRNA技术得以快速发展。随着mRNA疫苗在新冠疫情的推动下异军突起,多款mRNA疫苗已经获批上市投入使用。不仅仅是疫苗领域,mRNA作为平台技术在解决未满足的治疗需求方面拥有广阔前景,在体内外基因编辑、细胞治疗、蛋白质替代疗法以及再生医学疗法领域都具有极大的潜力。截止2022年3月,全球mRNA药物进入临床管线的共有56个,属于mRNA药物的时代呼之欲出。

mRNA疫苗生产流程图,来源mRNA vaccines for infectious diseases: Principles, delivery and clinical translation. Nature Reviews Drug Discovery. 2021 Nov;20(11):817-38.
mRNA药物的开发和生产相对简单、可扩大化且极为快速。主要过程可分为,mRNA合成、捕获、精纯、浓缩和渗滤、存储和运输以及LNP封装。
聚顶生物现上线高品质mRNA体外合成酶系列产品,助力客户研发和生产mRNA药物。
聚顶生物mRNA体外合成解决方案
产品列表
Bsa I【Bsa I】
Bsa I是一种IIS型限制性内切酶,其能特异性识别和切割的碱基序列如图所示。产生具有黏性末端或平末端的一定长度的DNA片段。其识别位点具有高度的特异性,能够有效的避免非特异性酶切。
产品特点:
(1)识别切割DNA分子双链的特异性部位,形成平末端DNA片段
(2)高度特异性
实验数据

T7 RNA Polymerase
T7 RNA 聚合酶是一种RNA聚合酶可以特异性识别并转录来自 T7 启动子下游的克隆 DNA 模板的 RNA,对T7启动子序列具有高度特异性;可以用标记的 NTP 进行合成以产生高度标记的 RNA。
产品特点:
(1)T7 RNA Polymerase可以识别修饰的NTP,例如生物素标记、荧光素标记的NTP,可以用于各种标记
(2)对经典T7启动子序列具有高度的特异性
(3)高效RNA转录合成
实验数据

Single stranded capping enzyme
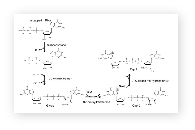
真核生物中mRNA经转录后修饰在5'端形成一个特殊结构,即帽子结构,该结构对mRNA的稳定、转运与翻译过程均有较重要作用。Single stranded capping enzyme是一种单链酶,同时具有三磷酸酶,鸟嘌呤转移酶以及(鸟嘌呤-N7)-甲基转移酶。可将7-甲基鸟嘌呤帽结构(m7Gppp)连接到RNA的5‘末端(m7Gppp5’N),产生带有 Cap-0 帽的 RNA。
产品特点:
(1)通用性更高
(2)高加帽效率
(3)温度范围更高
(4)更经济、更适合工业化生产
(5)能够替代牛痘病毒加帽酶
mRNA Cap 2’-O-Methyltransferase
该酶利用S-腺苷甲硫氨酸(S-Adenosylmethionine,SAM)为甲基供体,在 RNA 5´ 末端紧邻帽结构的第一个核苷酸的 2´ -O 上添加甲基基团,使带帽 Cap 0 甲基化为 Cap 1。帽状结构被认为在保护mRNA免于从5′末端分解,以及在mRNA起始翻译上起重要作用。
产品特点:
(1)提高RNA的翻译效率
(2)改善mRNA转染表达
图:参与mRNA加帽的酶促途径。Cap 0结构RNA的产生需要Single stranded capping enzyme :该酶兼具三磷酸酶、鸟苷转移酶和鸟嘌呤甲基转移酶的功能。其中S-腺苷甲硫氨酸(SAM)是甲基供体。一旦产生了Cap 0结构,就可以通过2'-O-甲基转移酶进一步修饰以产生Cap 1结构。
图片来源文献:Label-free analysis of mRNA capping efficiency using RNase H probes and LC-MS
E.coli Poly(A) Polymerase
E.coli Poly(A) Polymerase可以催化 ATP 以 AMP 的形式依次掺入到 RNA 3‘末端,即在RNA 3’端加多聚腺苷尾,并且不依赖模板。Poly(A)结构能够提高 RNA 的稳定性并提高mRNA在真核细胞中的翻译效率。
产品特点:
(1)用于克隆或亲和纯化RNA的Poly(A) 加尾
(2)高效加尾,保持mRNA自身的稳定性,防止mRNA意外降解
Thermostable Inorganic Pyrophosphatese
焦磷酸酶催化无机焦磷酸盐水解。P207–4 + H20 →2HP04–2。无机焦磷酸酶可以为蛋白、RNA和DNA的生物合成反应提供热力学动力,并在脂代谢,钙吸收以及骨形成等生物转化过程中发挥作用。该酶在100℃加热4h仍然具有100%活性,因此可用于PCR反应,解除生成的无机焦磷酸盐对PCR的抑制,增强DNA的复制。
产品特点:
热稳定性:100℃加热4小时,酶仍具有100%活性。
实验数据
DNase I【DNase I】
DNase I(Deoxyribonuclease I)中文名称为脱氧核糖核酸酶I,是一种可以消化单链或双链DNA产生单脱氧核苷酸或单链或双链的寡脱氧核苷酸的核酸内切酶。DNase I水解单链或双链DNA后的产物,5'端为磷酸基团,3'端为羟基。
产品特点:
可以用于各种RNA样品的处理
实验数据
Murine RNase Inhibitor
Murine RNase inhibitor 能够广泛抑制各种类型RNase (RNase A,B,C),并且其能与各类RNA聚合酶、DNA聚合酶以及逆转录酶兼容不影响活性。与人源RNase inhibitor 相比,鼠源RNase inhibitor 不含两个对氧化敏感的半胱氨酸,因而具有更高的抗氧化活性,且更加适合于对高DTT 敏感的下游实验。IVT过程中主要参与mRNA体外转录中对mRNA的保护。
产品特点:
(1)更高抗氧化活性:高抗氧化活性,适用于高DTT敏感性的实验
(2)广谱的RNase抑制活性:可抑制包括RNase A、RNase B、RNase C等在内的多种RNnase,且对T7、AMV以及Taq等各类聚合酶和逆转录酶活性无影响
(3)兼容广泛的反应条件:在pH 5.0至9.0条件下和25℃至60℃的温度下都具有活性
|
工具酶 |
||
|
货号 |
产品名称 |
规格 |
|
AC82650 |
Bsa I |
1000U/5000U |
|
AC82659 |
T7 RNA Polymerase |
5000U/250KU |
|
AC82657 |
Single stranded capping enzyme |
500U/2500U |
|
AC82658 |
mRNA Cap 2'-0-Methyitransferase |
2500U/10KU |
|
AC82651 |
DNasel |
500U/2000U |
|
AC82656 |
Murine RNase Inhibitor |
2000U/10KU |
|
AC82653 |
Thermostable Inorganic Pyrophosphatese |
10U/100U |
|
AC82654 |
E.coli Poly(A) Polymerase |
100U/500U |
|
AC82660 |
AcNuclease |
100U/500U |